24種耗材集采結果公布(附名單)
從耗材到設備,圍繞醫療器械的集采正愈發徹底。
01
河北24種耗材接續采購結果出爐近
日,河北省醫用藥品器械集中采購中心發布《關于公示輸液港等24種接續采購醫用耗材擬中選結果的通知》。

此次接續共涉及兩批醫用耗材集采項目,包括河北省輸液港等耗材集采(本次接續品種共17種)與三明牽頭的血糖試紙等耗材集采(本次接續品種共7種),具體品種如下:

按照采購文件關于報價的規定,24個采購品種分47個產品分類進行報價,擬中選情況如下:

(完整見文末)
此次擬中選名單并未披露具體價格,但基于聯動新低價的接續采購規則,各類產品價格較首輪集采的中標情況將整體下探。
2022年,河北省醫保局一次性開展了鎮痛泵、骨水泥、超聲刀頭等22類醫用耗材集中帶量采購,產品中選價格平均降幅56.5%,最高降幅89.4%;2023年河北牽頭三明聯盟開展了房間隔缺損封堵器、心臟固定器、外周載藥球囊等19類耗材集采,集采平均降幅62.3%,最高降幅92.4%。
伴隨耗材集采持續提質擴圍,一次性開展多品類集采已為常態,但河北這種單次覆蓋20類品種以上的仍為少數,且披露出的約定采購量合計超2億個(詳見下圖),對既往市場的沖擊將更為明顯。

02
2025耗材、設備集采并行
新一輪降價風暴來襲
開年以來,耗材集采領域動作頻頻,首先包括第五批國采、全國聯采、大型省際聯盟在內的多個去年/年初開標的中選結果開始落地執行,一場規模浩大的耗材大降價如期而至,具體如下:

伴隨耗材集采已推行多年,步入接續階段的集采項目正越來越多。
除了上文河北24類耗材集采外,江蘇省也于啟動官宣啟動第七、八輪醫用耗材集采接續采購,品種包括腔鏡吻合器、神經專用彈簧圈、超聲刀頭、真空采血管;以及骨科創傷類(鎖定加壓接骨板系統、普通接骨板系統、髓內釘系統、單獨使用的螺釘)。
與此同時,耗材領域各類新集采的推進也并未停歇。
黑龍江宣布擬牽頭開展腔靜脈濾器、消融電極類耗材集采;河北明確要牽頭胸主動脈支架、腹主動脈支架集采;四川已對腦脊液分流系統醫用耗材帶量聯動采購文件公開征求意見;廣西明確將牽頭開展中醫針具類耗材省際聯盟集采;湖南明確將牽頭開展高頻電動刀頭醫用耗材全國聯采......

經過多年完善優化,耗材集采已相對成熟。從近期各地發布的通知來看,醫療設備集采的推進正迎來提速。
安徽明確提出,省內公立醫療機構使用非財政預算安排資金,已取得有效乙類大型醫用設備配置許可證,計劃2025年采購的乙類大型醫用設備均應參加省級集中采購,本年度組織一次。
廣西也于近日發文,凡是政府、國有企業(含國有控股企業)舉辦的醫療衛生機構使用財政性資金購置乙類大型醫用設備以及單臺(套)1000萬元以上的醫用設備,自2025年3月1日起,均由自治區公共資源交易中心統一實施集中帶量采購,原則上每年5月開始組織集中帶量采購,每年不少于一次。
醫療設備數量少、配置復雜、金額高,且不同層級醫院的產品需求差異顯著,開展集采的難度明顯高于耗材和藥品。但經過數年的各地試點,醫療設備集采模式逐漸跑通,盡管在整體規模上與藥耗集采尚有差距,但已能發揮節約資金、推動資源配置的能效。
根據安徽醫保局披露的數據,2020年度安徽省設備采購總金額5.3億元,與醫院預算采購價相比,節約近2.6億元。2021年度安徽省設備采購總金額約3.9億元,預計節約醫療機構設備采購資金約1.9億元。
從高值耗材到低值耗材再到醫療設備,降價風暴已經基本席卷醫療器械全領域,對于相關企業來說,此番格局重塑后市場將滿是機遇和挑戰。
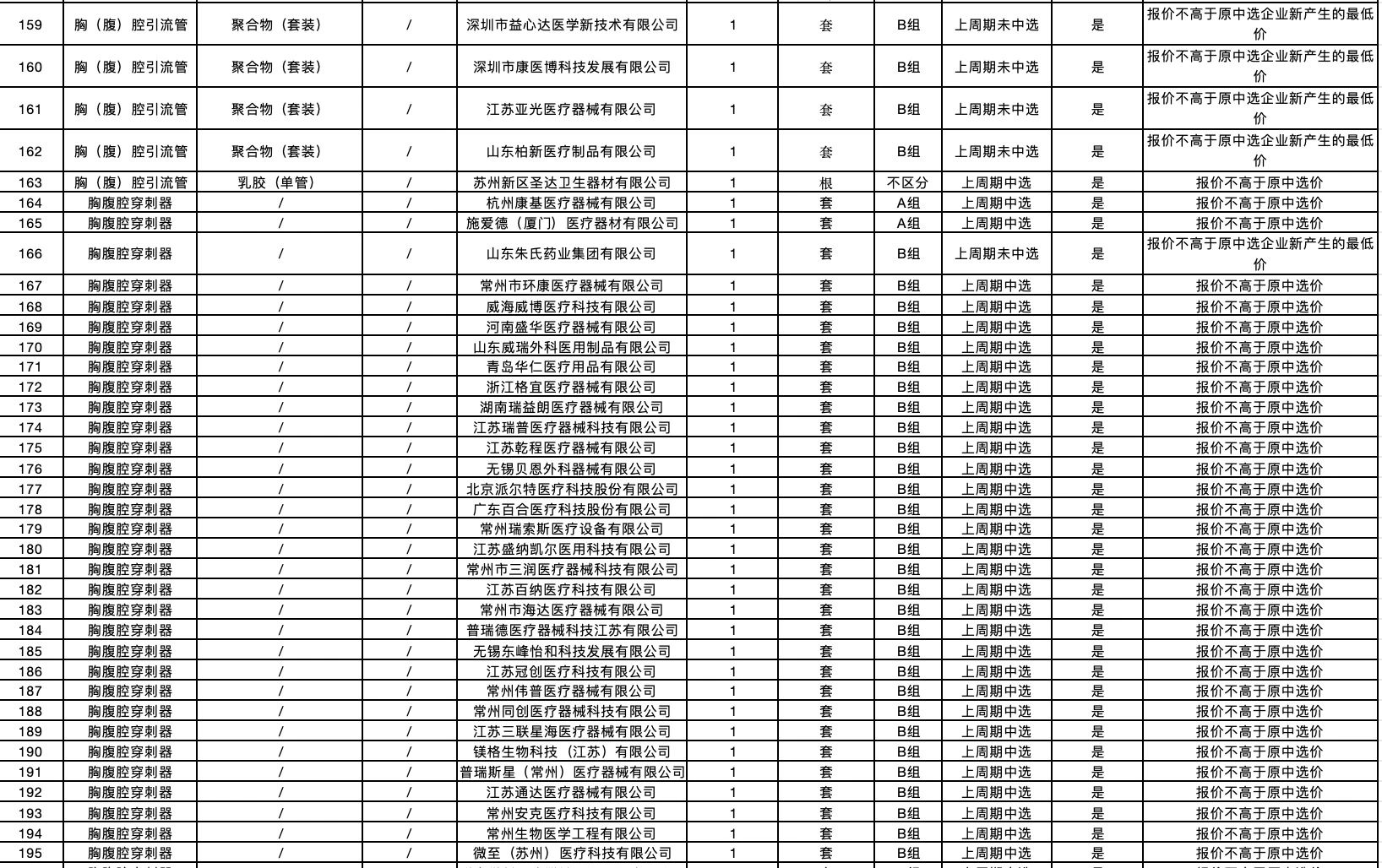
附:輸液港等24種接續采購醫用耗材擬中選結果:















【來源:賽柏藍器械】

上一篇:醫療設備大單來了(附名單)
下一篇:5類耗材聯盟集采將啟動






