大批集采耗材公布基準價:止血材料、防粘連材料、硬腦(脊)膜…
高值耗材國采已完成第二輪,聯盟集采正在省份數量、產品范圍和規模上不斷擴圍。
伴隨高值耗材降價版圖的逐步清晰,單價低但用量大的低值耗材也開始被納入帶量采購中,價格水分不斷被擠壓出來。在以量換價的方式中,低值耗材正形成新的價格版圖。
三大類耗材開啟帶量采購
近日,河南省公立醫療機構采購聯盟辦公室發布《關于發布河南省公立醫療機構聯盟采購文件及報價議價談判有關事宜的公告》(以下簡稱《公告》)。

《公告》提出,由全省三級公立醫療機構組成公立醫療機構采購聯盟,開展止血材料、防粘連材料、硬腦(脊)膜醫用耗材集中帶量采購工作。報價時間為2021年11月30日8:30-9:30。
其中止血材料醫用耗材集中帶量采購品種為體內用止血材料、體表用止血材料、耳鼻喉專用止血海綿、醫用膠。
防粘連材料集中帶量采購品種為防粘連膠、防粘連液、防粘連膜。
硬腦(脊)膜醫用耗材集中帶量采購品種含硬腦(脊)膜和硬腦(脊)膜輔助耗材。
采購周期自中選結果實際執行日起計算,原則上為12 個月。到期后可根據采購和供應等實際情況延長采購期 限,延長采購期限原則上為12個月。采購周期內醫療機構 完成約定采購量后,超出部分中選企業仍需按中選價格進行供應,直至采購周期屆滿。
各品種目錄下產品的采購需求量由參與采購聯盟的醫 療機構參考2020年歷史采購數據,合理填報采購周期內總 需求量,并根據中選企業排名情況,按照相應比例計算約 定采購量。
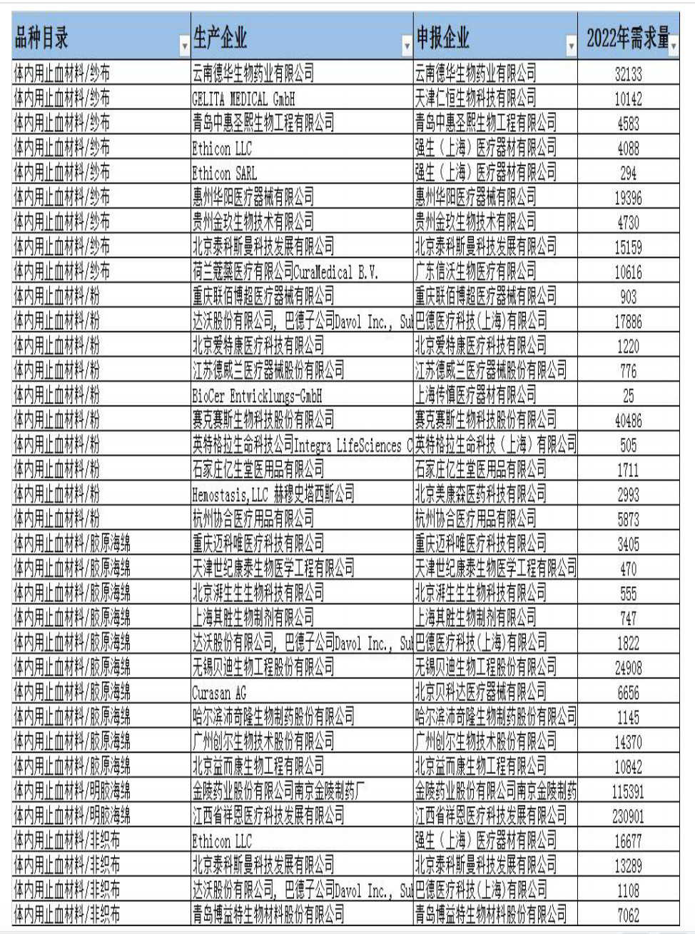
各醫療機構首年采購需求量












購銷協議必須如實反映實際供應價格和采購量,采購 方應當根據協議的約定及時回款,不得拖欠。
低值耗材集采規模擴大、產品擴圍
低值醫用耗材一般分為醫用衛生材料及敷料類、注射穿刺類、醫用高分子材料類、醫用消毒類、麻醉耗材類、手術室耗材類和醫技耗材類。
在低值耗材領域,市場規模和需求量雖然龐大,但由于技術和成本門檻較低等原因,市場呈現出產品分類復雜、企業規模小且散亂、產品質量穩定性難以保證等現象,這給低值耗材集采帶來了比較大的難度。
正因如此,相對于高值耗材,低值耗材的帶量采購規模和范圍推進較慢,但也正在摸索中不斷推進,從地市級到聯盟集采,都已經開始陸續落地。
日前,湖南省永州市醫療保障局發布《永州市低值醫用耗材和檢驗試劑集中采購文件》的公告。
文件指出,此次采購目錄范圍涉及基礎衛生材料、功能性敷料、止血防粘連材料、注射穿刺類材料、消毒類、檢驗試劑(包括專機專用試劑)、其他低值耗材等。
事實上,此次并不是永州市第一次發布相關政策,早在今年8月初發布的《永州市公立醫療機構低值醫用耗材和檢驗試劑集中采購工作實施方案》就曾明確指出醫用耗材集中帶量采購制度改革,堅持招采合一、量價掛鉤,全面實行藥品、醫用耗材集中帶量采購。
上次的文件明確了采購目標和采購主體,確定了實行限價掛網采購、帶量采購、聯盟采購、備案采購四種采購方式。同時,政策文件對制定相關的配套措施進行了明確。
今年4月,長沙市啟動低值醫用耗材及檢驗試劑集采工作。
此次集采范圍很大,除湖南省統一組織實施集采的十三大類(血管介入、骨科材料、神經外科、結構心臟病、非血管介入、起搏器、電生理類、吻合器、體外循環及血液凈化、人工器官組織、疝修補、口腔、眼科),以及文件規定的由省醫保局統一組織進行集采項目(如新冠肺炎核酸檢驗試劑等),其余所有低值醫用耗材及檢驗試劑,均納入集采范圍。
采購涉及基礎衛生材料、醫用高分子制品、注射穿刺類材料、止血防粘連材料、功能性敷料、中醫類材料、美容整形矯形器具類耗材、醫用X射線附屬設備及部件、消毒類及相關、檢驗試劑(包括專機專用試劑)等各大門類。
據長沙晚報消息,截至5月31日報名結束,申報企業達到2497家,申報產品149444個。8月27至9月11日,長沙市醫保局聯合市衛健委、市場監管局,開展了為期16天的評審議價工作,共有96017個產品中標,入圍率70%,平均降價30%,最大產品降幅達90%。
據長沙市醫保局消息,11月1日起,該市2021 年低值醫用耗材及檢驗試劑集中招標采購中標結果正式掛網執行。
2021年6月,河北省所有采購主體全面執行河北省組織一次性使用輸液器和靜脈留置針集中帶量采購中選結果。
經測算,一次性使用輸液器平均降幅75.38%,最高降幅達90%,預計年可節約醫藥費用3.93億元。靜脈留置針類平均降幅78.42%,最高降幅達89.82%,預計年可節約醫藥費用2.54億元。
青海省:2020年8月,青海省完成留置針和輸液器集中帶量采購工作。據賽柏藍器械梳理,青海省留置針2020年總采購量約130.1萬支,輸液器2020年采購量約934.4萬支。
留置針最高降幅88.3%,最低降幅68.3%,平均降幅78.9%;輸液器最高降幅89.6%,最低降幅12.7%,平均降幅61.6%。
河南省:2020年10月,河南省完成人工晶體、留置針帶量采購。其中,留置針采購約1200萬個,8個分組平均降幅為76.6%,最高降幅達94.34%。
日前,八省聯盟低值耗材集采工作正式啟動。10月22日,重慶市醫保局發文,開展重慶、海南、云南、貴州、寧夏、廣西、新疆、新疆生產建設兵團八省(自治區、直轄市)靜脈留置針聯盟帶量采購。
據中商產業研究院,2019年我國低值醫用耗材市場規模為762億元,同比增長18.88%,預計2021年有望突破1000億元。
在帶量采購下,低值耗材行業內小散亂且不合規的企業將逐步被過濾掉,行業集中度得到不斷提升。
【來源:賽柏藍器械】

相關閱讀
- 超大聯盟集采將執行,28種耗材市場調整在即2024-04-28
- 3類高值耗材集采來襲2023-12-04
- 倒查一年半,骨科耗材整改2023-11-28
- 周五開標!14省聯盟帶量采購,涉10種耗材2023-11-21
- 多部門聯動,耗材集采強監管2023-11-16






